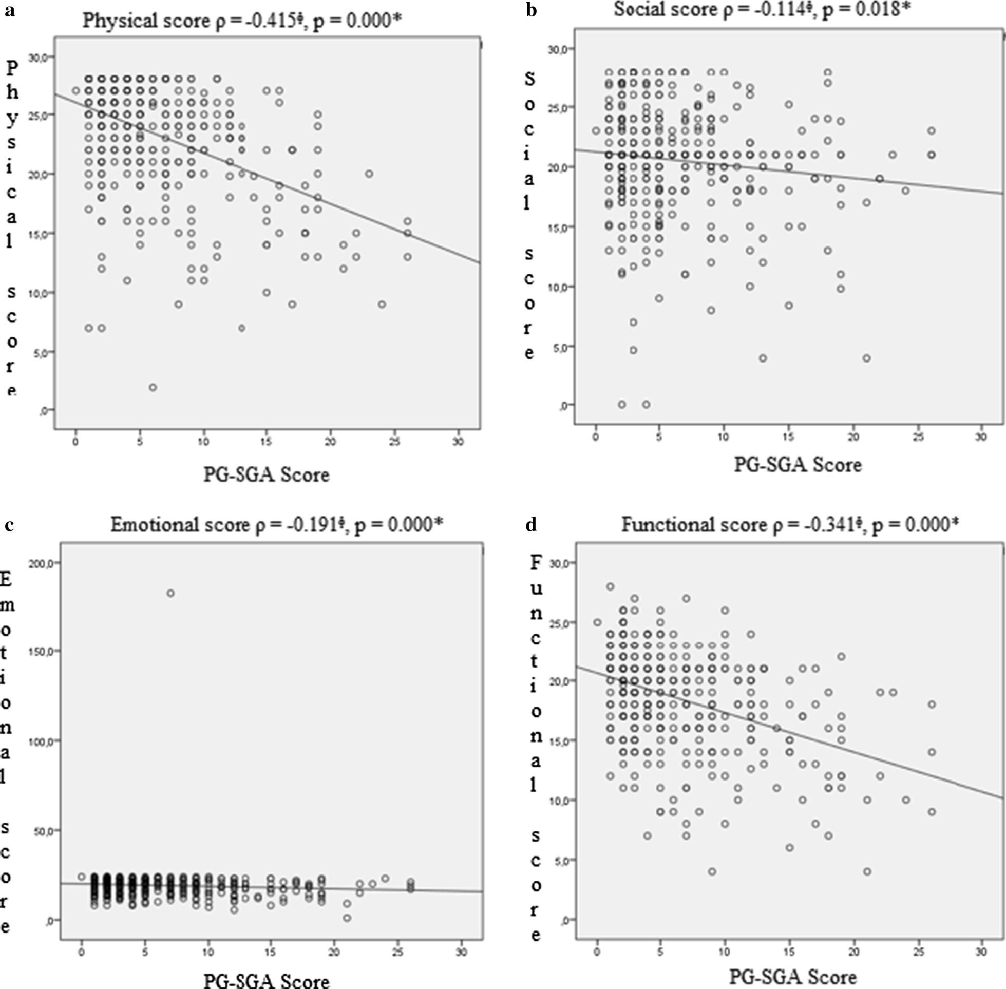
Fig. 1

Spearman correlations between FACT-G domains scores and PG-SGA scores in the sample population of elderly cancer patients investigated. *Spearman correlation ϕp value < 0.05. PG-SGA patient-generated subjective global assessment, FACT-G functional assessment of cancer therapy: general